曲线
考研曲线
相信大家在做习题集时常常会碰到某些曲线,像什么摆线、星(心)型线等之类的曲线。若不熟悉这些图形,到考试的时候往往某些题会无从下手,也不是说无从下手,有些曲线可以通过求导、求极值可大致分析出是什么图形。如果在考场上,这样做显然会浪费时间。比如2018年数二第17题,那道二重积分的区域D就是摆线与x轴围成的。
为了帮助大家应对这种情况,本人将总结出较为常用的曲线以应对考研、期末考试、自学等遇到的情况。
教材以《高等数学》——同济七(八)版为主,总结对象是该教材附录Ⅲ中的部分曲线,这部分曲线会常出现在真题以及市面上各种习题册中。对于某些不常用或用来出题概率较低的曲线,暂时不做总结,若以后出现了,则再进行一定的补充。
本系列篇幅会尽量总结曲线的表达式、图像、弧长、面积、旋转体积、旋转表面积等之类的常用结论,当然不是全部。对于该曲线不常用的结论,就不再过多阐述。
由于涉及到求曲线面积、弧长等参数,本人”尽量”利用曲线的各种形式去进行计算,甚至有的地方可能会涉及到多种计算方法,有的方法好、有的方法较为繁琐,望读者选取最合适的方法对此进行吸收。
如果对你有帮助,请不忘收藏、点赞或转发给身边需要帮助的同学。
内容概要
★星形线
★摆线
★伯努利双纽线
★阿基米德螺线
★**玫瑰线**
在总结曲线之前,大家要知道定积分在直角或极坐标的几何应用中计算面积、弧长、旋转体积、旋转表面积等公式与三种坐标的变换。这部分内容在各大参考书上都有详细讲解,这里就不再一一列出。
和差化积

笛卡尔心形线(Cardioid)






星型线







摆线






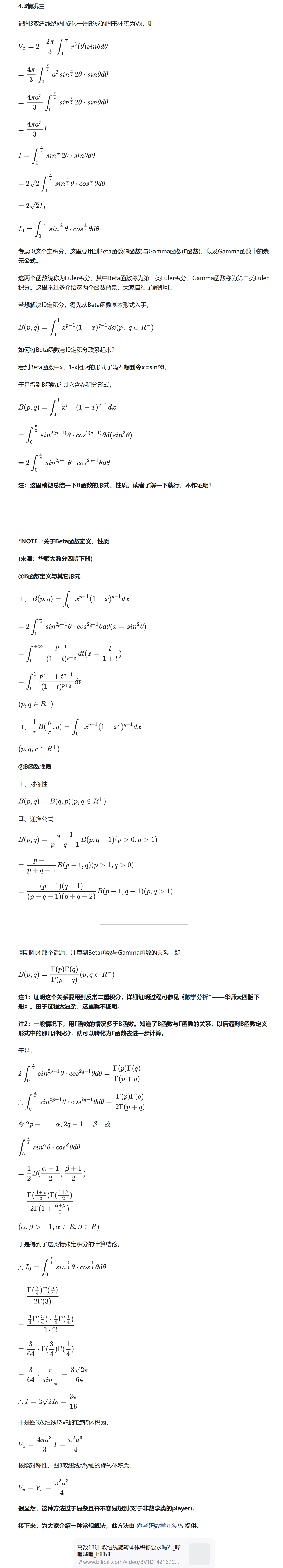
伯努利双扭线








笛卡尔叶形线

阿基米德螺线

玫瑰线

本博客所有文章除特别声明外,均采用 CC BY-NC-SA 4.0 许可协议。转载请注明来自 爱哭的北极熊!
